Zum Hauptinhalt
Wenn Sie weiter auf dieser Webseite arbeiten möchten, bestätigen Sie bitte unsere Nutzungsrichtlinie:
Nutzungsbedingungen
Datenschutzerklärung
Einwilligung in die Verarbeitung freiwillig bereitgestellter Daten
Fortsetzen
x
Website-Übersicht
Startseite
Kalender
Mehr
Systemweite Suche
Suchen
Schließen
Suche durchführen
Sucheingabe umschalten
Deutsch (de)
Deutsch (de)
Deutsch (du) (de_du)
English (en)
Polski (pl)
Türkçe (tr)
Български (bg)
Русский (ru)
العربية (ar)
Sie sind als Gast angemeldet
Anmelden
Startseite
Kalender
Alles aufklappen
Alles einklappen
Kursindex öffnen
Blockleiste öffnen
Neue Aufgaben zum Thema Künstliche Intelligenz
Mathematik, ab EF
Apps zum Lösen von Gleichungen - Matheaufgaben mithilfe künstlicher Intelligenz lösen?!
Apps zum Lösen von Gleichungen - Matheaufgaben mithilfe künstlicher Intelligenz lösen?!
Abschlussbedingungen
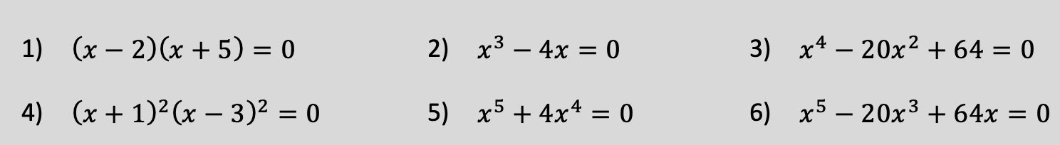
Aufgabe 1: Gleichungen händisch lösen
Lösen Sie die folgenden Gleichungen mithilfe eines geeigneten Verfahrens rechnerisch.
--------------------
Gleichungen entnommen aus: Lambacher Schweizer Einführungsphase S. 28, Nr. 1 a), b), c), d), h), Nr. 4 a), Nr, 5 a)
weiter zu Aufgabe 2
zurück zur Einführung